技術文章
您的位置:首頁>>技術文章詳細信息放射性
2007/7/24 18:29:00 (瀏覽次數:2007/7/24 18:29:00)
原子核自發地放射出各種射線的現象,如 α、β、γ放射性等。
1896年,法國科學家A.-H.貝可勒爾在研究鈾鹽的熒光現象時,發現含鈾物質能發射出穿透力很強的不可見的射線,使照相底片感光。后來,經過人們的多年研究,終于證明它是三種成分組成的:一種是高速運動的氦原子核粒子束,稱為α 射線。它的電離作用大,貫穿本領小,穿不透一張薄紙。另一種是高速運動的電子束,稱為β射線。它的電離作用較小,貫穿本領較大,但仍穿不透一張薄金屬片。第三種是波長很短的電磁波,稱為γ射線。它的電離作用最小,貫穿本領最大,可以穿過例如1厘米厚的鉛板。
放射性射線的性質、發射機制以及各種科技上的應用,一直是原子核物理學研究的一個重要的方面。
放射性的類型 放射性有天然放射性和人工放射性之分。天然放射性是指天然存在的放射性核素所具有的放射性。它們大多屬于由重元素組成的三個放射系(即釷系、鈾系和錒系)。人工放射性是指用核反應的辦法所獲得的放射性。人工放射性最早是在1934年由法國科學家約里奧-居里夫婦發現的(見人工放射性核素)。
現在知道,許多天然和人工生產的核素都能自發地放射出射線。放出的射線類型除 α、β、γ以外,還有正電子、質子、中子、中微子等其他粒子。能自發地放射出射線的核素,稱為放射性核素(以前常稱為放射性同位素),也叫不穩定核素。實驗表明,溫度、壓力、磁場都不能顯著地影響射線的發射。這是由于溫度等只能引起核外電子狀態的變化,而放射現象是由原子核內部變化引起的,同核外電子狀態的改變關系很小。除自發裂變外,放射現象一般與衰變過程有關,主要同α衰變、β衰變過程有關。
α 放射性出現在α衰變過程中。此時,衰變后的剩余核(通常叫子核)與衰變前的原子核(通常叫母核)相比,原子序數減少2,質量數減少4。α衰變是母核通過強相互作用和隧道效應,發射α 粒子而發生的。
β放射性出現在β衰變過程中。β衰變有三種類型:① β+衰變,放出正電子和中微子的β衰變;② β-衰變,放出電子和反中微子的β衰變;③ 軌道電子俘獲,俘獲一個軌道電子并放出一個中微子的過程。β衰變是通過弱相互作用而發生的。
γ放射性通常和α衰變或β衰變有聯系。α 和β衰變的子核往往處于激發態。處于激發態的原子核要放出γ射線而向較低激發態或基態躍遷,這叫γ躍遷。因此,γ射線的自發放射一般是伴隨α 或β射線產生的。
β衰變所形成的子核,當其激發能足夠高時,有可能放射中子、質子或α 粒子,甚至可以產生裂變。這些衰變類型分別叫做β緩發中子發射(β-n)、β緩發質子發射(β-p)、β緩發α 發射(β-α)和β緩發裂變(β-f)。
自發裂變是放射現象的另一種類型(見核裂變)。某些重核可以自發地分裂成兩個質量相差不多的原子核,并放出幾個中子。
質子放射性也是放射性的一種。例如處于激發態的
能自發地放射出質子,其衰變方式如下:

衰變規律 放射性原子核的衰變是一個統計過程,所以放射性原子的數目在衰變時是按指數規律隨時間的增加而減少的,稱為指數衰減規律
。
放射性活度 處于某一特定能態的放射性核在單位時間的衰變數-dN/dt,記作A。由指數衰減規律可以看到,A=-dN/dt=λN。
放射性活度的國際單位是貝可勒爾(Bq),它定義為每秒一次衰變,與以往放射性活度的常用單位居里(Ci)的關系是
1Ci=3.7×1010Bq。
放射性源的放射性活度同其質量之比,稱為比活度。
測量放射性活度的方法取決于射線的類型、活度的等級等,通常分為絕對測量和相對測量兩大類。絕對測量是用測量裝置直接按照定義進行的測量。在實際應用中放射源大多是β或α 放射性,活度多數是微居里級的,這類放射性活度的絕對測量方法主要有小立體角法、4π計數法和符合法等三種。相對測量是用一個已知活度的標準源與待測樣品在相同條件下進行測量,根據它們計數率的比值和標準源的活度即可算出待測源的活度。
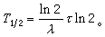
半衰期 處于某一特定能態的放射性原子核的數目或活度衰減到原來大小的一半所需的時間,通常用符號T┩表示。
平均壽命指處于某一特定能態的放射性原子核平均生存的時間。
利用指數衰減規律,容易得到半衰期T┩同衰變常數λ或平均壽命τ的關系如下

對半衰期在10-9秒到秒范圍的核素,采用直接測量N(t)的方法,利用指數衰減規律求出T┩。對半衰期在數分鐘到1~2年的核素,采用衰減跟蹤法,測量探測器計數率隨時間的變化,求出T┩。對半衰期在10年以上的核素,采用放射性比度法。此外還有測定子核法等,這些方法都基于放射性的指數衰減規律。對于極短的半衰期(小于10-9秒)的測量,需要采用一些特殊的技術(見核能級壽命測量)。
放射性的研究是十分重要的。基于放射性的研究所建立的衰變綱圖是原子核結構理論研究的重要依據之一。通過各種核態的衰變特性的測量可研究各種核性質和核反應機制。大量遠離β穩定線的核素就是根據它們的衰變特性進行鑒定和研究的。
放射性在許多學科的研究中,在工農醫和軍事等部門都有重要應用。例如,在工業中的β射線測厚度和γ射線探傷,農業中的輻照育種和射線刺激生物生長,以及醫學中的射線診斷和放射治療等方面都是富有成效的(見放射性同位素在農業上的應用、核醫學)。放射性測量的同位素示蹤方法和活化分析方法在核技術的應用中也占有重要位置。
參考書目
盧希庭主編:《原子核物理》,原子能出版社,北京,1981。
P.Marmier and E.Sheldon,Physics of Nuclei and particles, Academic Press, New York and London, 1969.
E. Segrè, Nuclei and particles,2nd ed., W. A.Benjamin,Reading, Mass., 1977.
Yuan,Luke Chai-Liu and Wu Chien-Shiung,Nuclear Physics,Part A. Academic Press, New York, 1961.
-
產品名稱:REN300型在線x-γ輻射安全報警儀
產品型號:REN300
產品價格:請咨詢 >> 021-69515711
產品描述: REN300在線x-γ輻射安全報警儀是一種新型的x-γ輻射連續監測報警裝置,它采用特殊設計的前置放大電路,具有靈敏度高、操作方便、自動顯示、數據存儲和超閾值報警等特點,能實時給出xγ輻射劑量率。考慮到現場操作、應急快速響應的需要,主機安裝在輻射現場,實現實時監測與就地報警,通過RS485通訊實現總控制室自動監控。可根據現場要求,選配RenRiArea輻射區域監測軟件,該軟件可連續存儲30個探頭5年以上的歷史數據,提供實時數據采集和圖譜等。 該儀
產品關鍵字:多路輻射連續監測報警儀,多路輻射連續監測報警儀,輻射報警儀,射線報警儀
-
產品型號:REN500E
產品價格:請咨詢 >> 021-69515711
產品描述: REN500E型X、γ輻射劑量率儀是以內置高靈敏度蓋格計數管為探測器,測量χ、γ和硬β輻射的多功能便攜式劑量率儀。作為輻射巡測儀,能顯示工作場所的劑量當量率和累積劑量,自動連續測量和記錄1600條輻射劑量率數據,更換電池時,日歷、時間及檢測數據能永久保存。工作人員可以任意設定劑量率報警值和累積劑量報警值,超閾值后自動發出聲音報警。χ、γ輻射劑量率儀體積小、重量輕,攜帶方便,適用于核設施、核技術應用單位、廢舊鋼鐵、防化部隊、 加速器、同位素應用、工
產品關鍵字:手持式X、γ輻射劑量率儀,REN500E,輻射劑量率儀,手持式輻射儀,X、γ射線
-
產品名稱:REN800A型中子、X、γ輻射周圍劑量當量(率)儀
產品型號:REN800A
產品價格:請咨詢 >> 021-69515711
產品描述:REN800A型中子、X、γ輻射周圍劑量當量(率)儀內置一個進口He-3管和一個GM管作為探測器,能同時檢測中子和X、γ射線。該儀器使用方便;靈敏度高、抗γ性能好、能量響應特性好。此外通過配套的RenRiRate輻射劑量管理軟件可將存儲的數據讀出后分析。該儀器適用于環保、化工、石油、醫療、進出口商檢、核電、加速器、中子源和其他安檢、邊境控制、海關檢測等需進行中子輻射檢測的場合。 &n
產品關鍵字:中子、X、伽馬射線檢測儀,REN800A,中子射線,X射線,伽馬射線,檢測儀
-
產品名稱:REN310型立柱式輻射監測系統
產品型號:REN310
產品價格:請咨詢 >> 021-69515711
產品描述: REN310型立柱式輻射監測系統,主要用于放射性監測場所的行人或行包通過的監測系統,采用大體積的閃爍體探測器作為探測器,具有體積小,便于攜帶,靈敏度高,誤差小的特點,適用與核應急等特殊的放射性檢測場合。該系統主要由安裝在現場的立柱和遠程計算機系統組成。立柱內置的探測器模塊由圓柱形閃爍體、低噪聲光電倍增管及相關控制電路構成,實現對γ射線及X射線的探測,一旦檢測到超過規定值的射線,立柱可獨立發出光報警或輸出開關量。立柱每間隔幾百個毫秒的間隔通過無線或有線的方式不
產品關鍵字:立柱式射線檢測系統,REN310型立柱式輻射監測系統
-
產品名稱:REN320型立柱式X、γ輻射環境監測儀
產品型號:REN320
產品價格:請咨詢 >> 021-69515711
產品描述: REN320立柱式X、γ輻射環境監測儀主要用于放射性監測場所的行人或行包通過的監測系統,采用大體積的閃爍體探測器作為探測器,具有體積小,便于攜帶,靈敏度高,誤差小的特點,適用與核應急等特殊的放射性檢測場合。該輻射儀由一根便攜式立柱和一個REN400型多功能輻射儀主機組成。輻射立柱與探頭之間通過有線或無線方式通訊。立柱內置的探測器模塊由圓柱形閃爍體、低噪聲光電倍增管及相關控制電路構成,實現對γ射線及X射線的探測,一旦檢測到超過規定值的射線,立柱可獨立發出光報警;且配套的主機同時發出聲光
產品關鍵字:立柱式輻射監測儀,REN320型立柱式輻射監測儀
-
產品名稱:REN500L-A型環境監測用X、γ輻射空氣比釋動能率儀
產品型號:REN500L-A
產品價格:請咨詢 >> 021-69515711
產品描述:REN500L-A型環境監測用X、γ輻射空氣比釋動能率儀采用超大尺寸、高靈敏的閃爍晶體作為探測器,反應速度快。主機內置探測器使得整機有更寬的測量范圍。儀器滿足《環境地表γ輻射劑量率測定規范》中低劑量部分的要求。該儀器除能測高能、低能γ射線外,還能對低能X射線進行準確的測量,具有良好的能量響應特性。此外通過配套的RenRiRate輻射劑量管理軟件可將存儲的數據讀出后分析。該儀器廣泛用于環保、冶金、石油化工、化工、衛生防疫、進出口商檢、放射性試驗室、廢鋼鐵、Xray裝置、加速器、商檢、各種放射性工作
產品關鍵字:X、γ環境輻射儀,REN500L-A,環境輻射儀,環境級劑量率儀







滬ICP備09065761號-7
滬公網安備 31011402001594號